산점도
정의
- 연속형 두 변수 사이의 관계를 시각적으로 표현하는 그림
- 두 변수의 관련성의 방향과 정도를 파악할 수 있다.
- 한 변수의 값을 수평축, 다른 변수의 값을 수직축으로 하여 관측값을 나타낸다.
- 방향 : 두 변수 간 상관성이 양의 상관성인지 음의 상관성인지
- 정도 : 얼마나 많이 집중되어있는지. 가장 집중되면 하나의 선으로 보이게 된다.
- 관계의 정량적 비교는 “상관계수”를 함께 사용하는 것이 필요하다.
예시
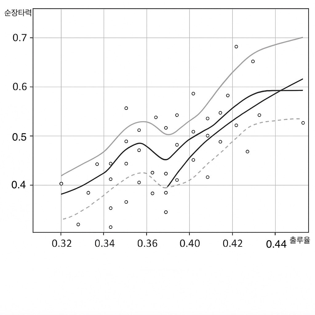
야구에서 타자 출루율과 장타력의 관계

- 전체적으로 출루율이 높아짐에 따라 장타력도 높아지는 경향이 있음을 볼 수 있다.
Reference
통계로 세상 읽기 - 이긍희, 이기재, 장영재, 박서영, 한종대 공저
방송통신대 - 통계로 세상 읽기 강의
Comments